Предмет: Алгебра,
автор: tkaa
помогите решить пожалуйста
Приложения:
Ответы
Автор ответа:
1
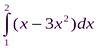
Ответ в фото.
Удачи
Приложения:
Похожие вопросы
Предмет: Русский язык,
автор: вфыпвп
Предмет: Русский язык,
автор: famasok
Предмет: Другие предметы,
автор: Аноним
Предмет: Литература,
автор: Аноним
Предмет: География,
автор: апмим