Предмет: Математика,
автор: gvelesianianna5666
Помогите решить примеры,срочно!!
Приложения:
Ответы
Автор ответа:
0
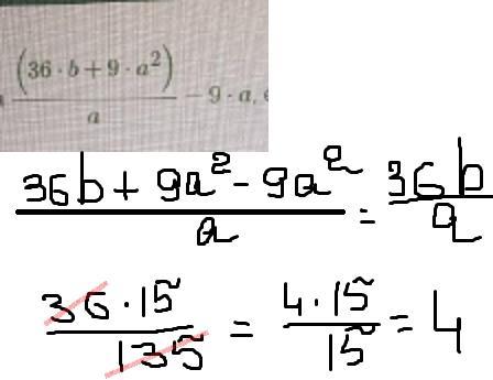
Ответ:
см фото
Пошаговое объяснение:
Приложения:
Похожие вопросы
Предмет: Русский язык,
автор: Андрей0048
Предмет: Английский язык,
автор: кристиночки
Предмет: Русский язык,
автор: vna123
Предмет: Биология,
автор: EkaterinaMay
Предмет: Алгебра,
автор: Littlesun