Предмет: Алгебра,
автор: Asia1415
Розв'яжіть рівняння будь ласка!!!!
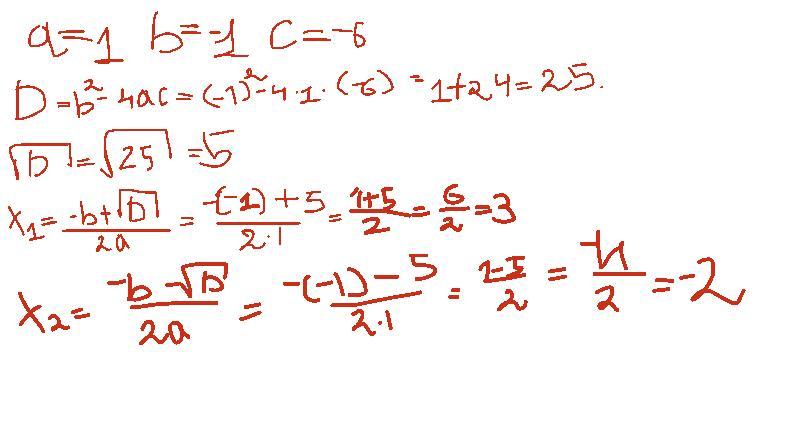
х^2-6/х-2=х/2-х
Ответы
Автор ответа:
1
Ответ: х₁ = 3, х₂ = -2.
Решение на фотографии.
Приложения:
Похожие вопросы
Предмет: Қазақ тiлi,
автор: amirochka03
Предмет: Русский язык,
автор: Настёноч
Предмет: Английский язык,
автор: masynya2014
Предмет: Биология,
автор: Алла2691