Предмет: Математика,
автор: Аноним
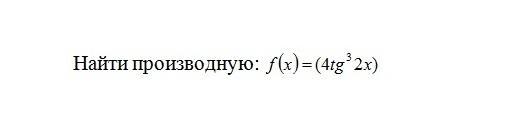
Помогите решить, даю 50 баллов
Приложения:
Ответы
Автор ответа:
1
Ответ:
Найти производную...
Приложения:
Похожие вопросы
Предмет: Русский язык,
автор: nyashik8
Предмет: Русский язык,
автор: bagira040886
Предмет: Русский язык,
автор: дашулечкакрасот
Предмет: Физика,
автор: MVD2509