Предмет: Математика,
автор: Аноним
Будьте добры,жду помощи
Приложения:
Ответы
Автор ответа:
0
Ответ:
0,55 < p < 1
Пошаговое объяснение:
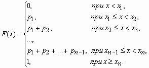
Функция распределения дискретной случайной величины имеет вид как на картинке ниже.
Поэтому, параметр 0,55 < p < 1, то есть может быть равен любому значению из диапазона чисел от 0,55 до 1, не включая границы 0,55 и 1.
Приложения:
Похожие вопросы
Предмет: Українська мова,
автор: arevnelliko85
Предмет: Английский язык,
автор: Schegolevalek
Предмет: Другие предметы,
автор: samsung09
Предмет: Математика,
автор: oxanabusarova21