Предмет: Алгебра,
автор: laurita19072000
Решите систему неравенств
x^2-5x+6 меньше либо равен 0
{
2x-5 меньше либо равен 0
Ответы
Автор ответа:
1
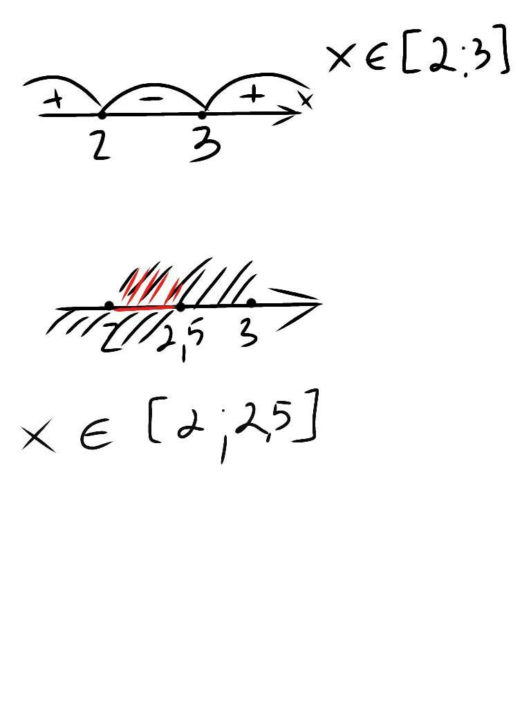
х²-5х+6≤0
2х-5≤0
В 1 неравенстве найдем корни через Дискриминант:
х²-5х+6=0
Д= (-5)²-4*1*6= 25-24=1
х1,2= (5±1)/2
х1=3
х2=2
Смотри рисунок(1):
х принадлежит [2;3]
Рассмотрим 2 неравенство:
2х-5≤0
2х≤5
х≤2,5
Смотри рисунок(1):
х принадлежит [2;2,5]
Ответ: х принадлежит [2;2,5]
2х-5≤0
В 1 неравенстве найдем корни через Дискриминант:
х²-5х+6=0
Д= (-5)²-4*1*6= 25-24=1
х1,2= (5±1)/2
х1=3
х2=2
Смотри рисунок(1):
х принадлежит [2;3]
Рассмотрим 2 неравенство:
2х-5≤0
2х≤5
х≤2,5
Смотри рисунок(1):
х принадлежит [2;2,5]
Ответ: х принадлежит [2;2,5]
Приложения:
Похожие вопросы
Предмет: Українська мова,
автор: 997232685
Предмет: Русский язык,
автор: sdoc
Предмет: Русский язык,
автор: alisa0kartashova
Предмет: История,
автор: LevelUP83
Предмет: Литература,
автор: sofyasoldatova4656