Предмет: Алгебра,
автор: Wulflekss
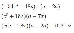
Какое из выражений целое?
Приложения:
Ответы
Автор ответа:
1
второе. в нем нет деления на букву.
Wulflekss:
жаль позновато)
Похожие вопросы
Предмет: Русский язык,
автор: Александра645
Предмет: Английский язык,
автор: Аноним
Предмет: Другие предметы,
автор: sann2105
Предмет: Математика,
автор: kruhnova2012
Предмет: Математика,
автор: Leto2345