Предмет: Алгебра,
автор: vahuzunyan
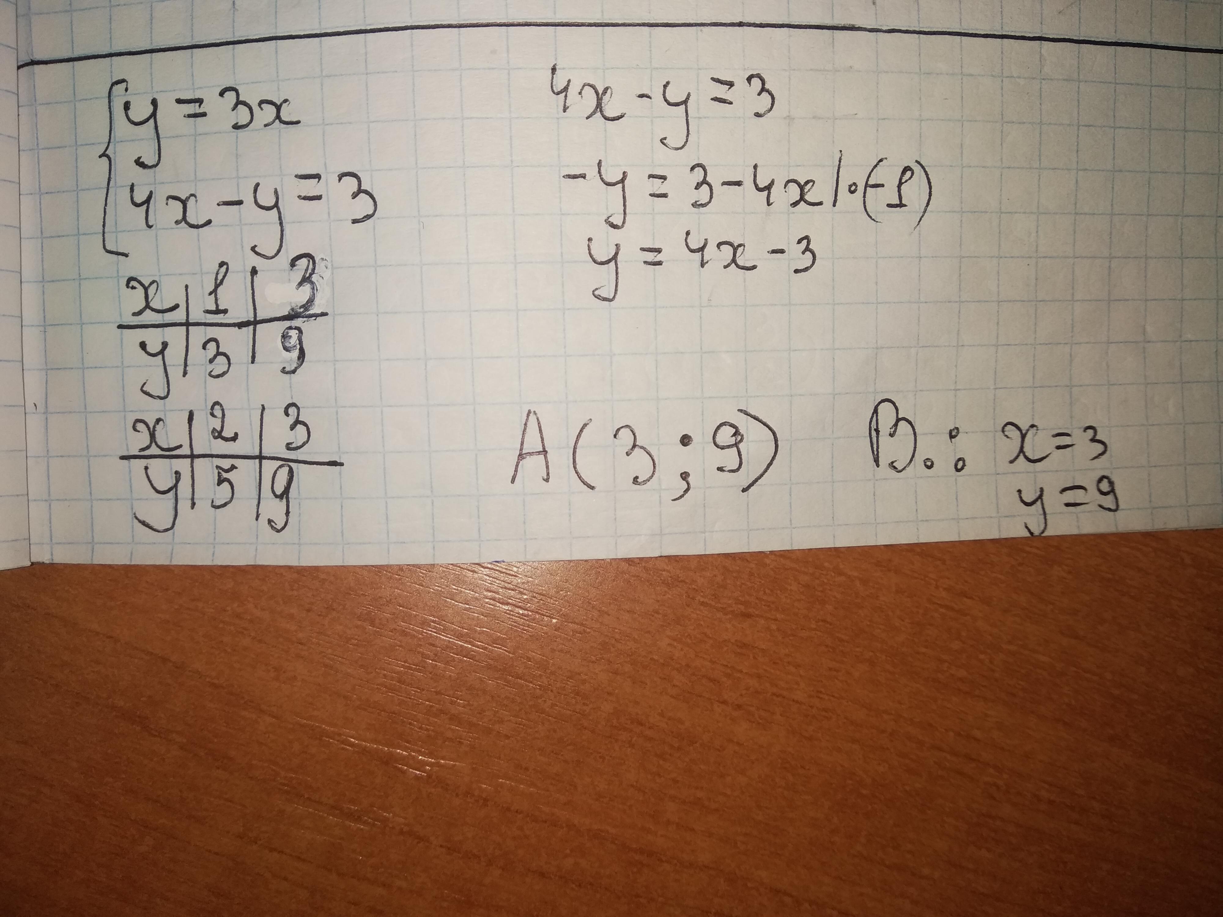
Помогите пожалуйста. Решите графически систему уравнений. Очень быстро надо пожалуйста. Заранее спасибо
Приложения:
Ответы
Автор ответа:
1
Ответ: 3; 9
Объяснение: фото
Приложения:
Похожие вопросы
Предмет: Другие предметы,
автор: Mariya12345CA
Предмет: Русский язык,
автор: YANIEVA82
Предмет: Русский язык,
автор: славакушаков
Предмет: Биология,
автор: cat008
Предмет: Алгебра,
автор: mishka113