Предмет: Алгебра,
автор: Maria6800
Помогите пожалуйста))
Приложения:
nktselepov:
сверишь)
там не откопировалось полностью
<=
спасибо)
1,2 и 4 надо?
да, желательно
я сдаюсь
единственное что решил это 1
-2 ответ
ну всё равно спасибо))))
Ответы
Автор ответа:
0
Вроде так, но я не уверен
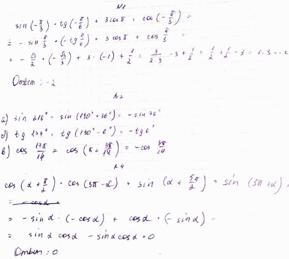
Приложения:
Похожие вопросы
Предмет: Английский язык,
автор: dafna105
Предмет: Русский язык,
автор: violete
Предмет: Русский язык,
автор: dohdetsapka
Предмет: Алгебра,
автор: nastya2345asa
Предмет: Биология,
автор: пропала5