Предмет: Математика,
автор: legomeny38
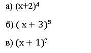
Раскрыть скобки в выражениях
Приложения:
Ответы
Автор ответа:
1
Ответ:
Пошаговое объяснение:
Используем Бином Ньютона:
Похожие вопросы
Предмет: Українська мова,
автор: elena05111982skel
Предмет: Другие предметы,
автор: Danil946
Предмет: Русский язык,
автор: димончика
Предмет: Литература,
автор: boy2471
Предмет: География,
автор: Лп6790853