Предмет: Математика,
автор: vkrast4
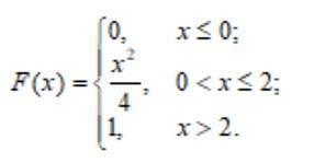
Высшая математика)) Случайная величина Х задана функцией распределения Найти плотность распределения вероятностей, математическое ожидание и дисперсию случайной величины.
Приложения:
Ответы
Автор ответа:
1
Ответ:
Пошаговое объяснение:
Ответ в прикреплённом файле
Приложения:
Похожие вопросы
Предмет: Русский язык,
автор: rasha555
Предмет: Русский язык,
автор: azikmister
Предмет: Русский язык,
автор: rufilia
Предмет: Математика,
автор: Kadeykina1749
Предмет: География,
автор: TWERKA9438