Предмет: Алгебра,
автор: azarudnev86
2. Решить задание по алгебре
Приложения:
Ответы
Автор ответа:
1
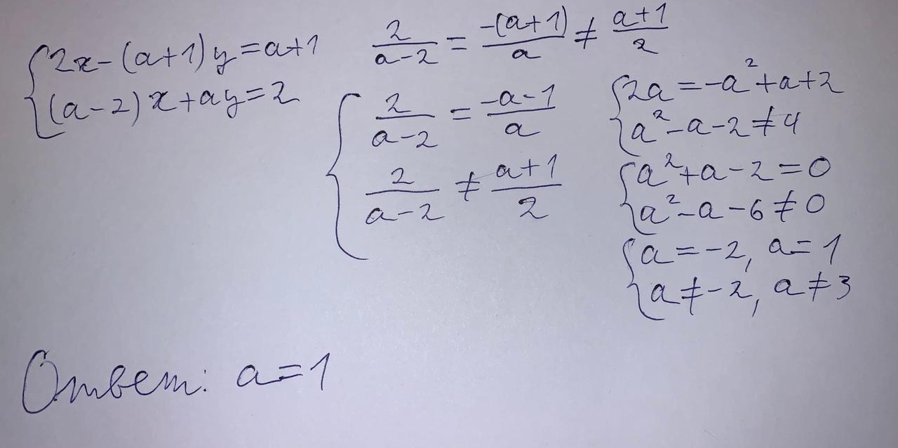
Коэффициенты при переменных пропорциональны, но не пропорциональны свободному члену. Тогда система не имеет решений
Приложения:
Похожие вопросы
Предмет: Русский язык,
автор: Бернайс
Предмет: Русский язык,
автор: MKraft
Предмет: Русский язык,
автор: zarish1234
Предмет: Математика,
автор: dilyadD
Предмет: Математика,
автор: Поля5821