Предмет: Алгебра,
автор: TomiLite
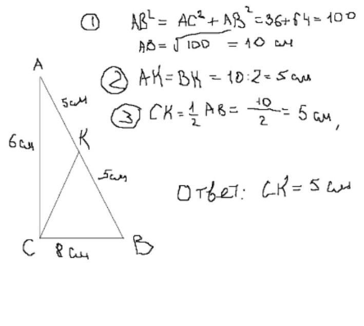
В прямоугольном треугольнике АВС с прямым углом С известны катеты: АС = 6 см; ВС = 8 см. Найдите медиану СК этого треугольника.
Ответы
Автор ответа:
0
Ответ:
ответ у треугольника авс медиана СК=5
Приложения:
Похожие вопросы
Предмет: Русский язык,
автор: khut22237300
Предмет: Русский язык,
автор: Акифка
Предмет: Другие предметы,
автор: ketrinzhuk
Предмет: Биология,
автор: Никдляслабаков
Предмет: Информатика,
автор: davidberezov9