Предмет: Алгебра, автор: lite55

решите плиз__________​

Приложения:

Ответы

Автор ответа: Universalka
2

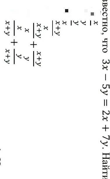
3x - 5y = 2x + 7y

3x - 2x = 7y + 5y

x = 12y

1)\frac{x}{y}=\frac{12y}{y}=12\\\\2)\frac{y}{x}=\frac{y}{12y}=\frac{1}{12}\\\\3)\frac{x+y}{x}=\frac{12y+y}{12y}=\frac{13y}{12y}=\frac{13}{12}=1\frac{1}{12}\\\\4)\frac{x+y}{x}+\frac{x+y}{y}=\frac{12y+y}{12y}+\frac{12y+y}{y}=\frac{13y}{12y}+\frac{13y}{y}=1\frac{1}{12}+13=14\frac{1}{12} \\\\5)\frac{x}{x+y}+\frac{y}{x+y}=\frac{x+y}{x+y}=1

Похожие вопросы
Предмет: Українська мова, автор: Nastya19200
Предмет: Английский язык, автор: Мораг