Предмет: Математика,
автор: tvinkblue
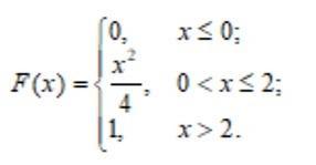
Случайная величина Х задана функцией распределения Найти плотность распределения вероятностей, математическое ожидание и дисперсию случайной величины.
Приложения:
Ответы
Автор ответа:
1
Ответ:
Пошаговое объяснение:
все расчеты в прикрепленном файле
Приложения:
tvinkblue:
Можешь решить этот пример https://znanija.com/task/37637659
не, дифференциальные уравнения да еще и специфические уже не помню..... извини....
Кроме тебя никто не сможет))))) попробуй пожалуйста, я уже 2 раз публикую, не могут...
Похожие вопросы
Предмет: Русский язык,
автор: Matvei1204
Предмет: Другие предметы,
автор: alyalyapushkina
Предмет: Английский язык,
автор: mimihaha
Предмет: Геометрия,
автор: Евгешенок