Предмет: Математика, автор: americanida105

уравнение с дробями 2 целых+x=3 целых 3/5​

Ответы

Автор ответа: Аноним
1

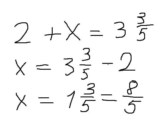
Ответ:

1\frac{3}{5}

Пошаговое объяснение:

2+x=3\frac{3}{5} \\x=3\frac{3}{5} -2\\\\\x=1\frac{3}{5}


radeyun: Ответ не верный :/
americanida105: всм?
americanida105: а там 1 целая 3/5
americanida105: ответь
radeyun: 18/5 - 10/5
Автор ответа: radeyun
0

Ответ:

8/5

Пошаговое объяснение:

1. Переносим 2 в другую сторону

2. Вычитаем челые части

3. Превращаем в неправильную дробь ( Если нужно )

Приложения:

americanida105: а разве ответ не останется 1 целая 3/5?
Похожие вопросы
Предмет: Русский язык, автор: Аноним
Предмет: Алгебра, автор: Oksanka11