Предмет: Математика,
автор: zigzagon2007
прошу помогите пожалуйста
Приложения:
Ответы
Автор ответа:
1
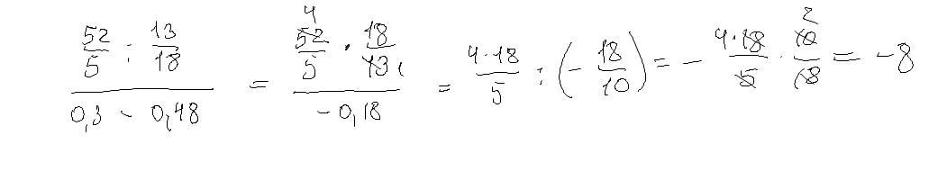
Ответ:
-8
на фото
Пошаговое объяснение:
Приложения:
Похожие вопросы
Предмет: Русский язык,
автор: vbgfgvv
Предмет: Русский язык,
автор: romashka1155
Предмет: Русский язык,
автор: kakva1955
Предмет: Обществознание,
автор: Newageoutlow
Предмет: Математика,
автор: Аноним