Предмет: Алгебра,
автор: vismirnova2092
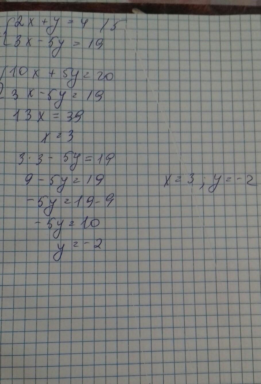
Решите систему уравнения
{2х+у=4
{3х-5у=19
Ответы
Автор ответа:
1
_________________________
Готово!!Удачи)))
Приложения:
Автор ответа:
0
Объяснение:
удаче!!!!!!!!!!!!!!!
Приложения:
Похожие вопросы
Предмет: Русский язык,
автор: nastysha1285
Предмет: Английский язык,
автор: Аноним
Предмет: Другие предметы,
автор: karpyliva99
Предмет: Математика,
автор: котёнок0001