Предмет: Алгебра,
автор: diamond77712
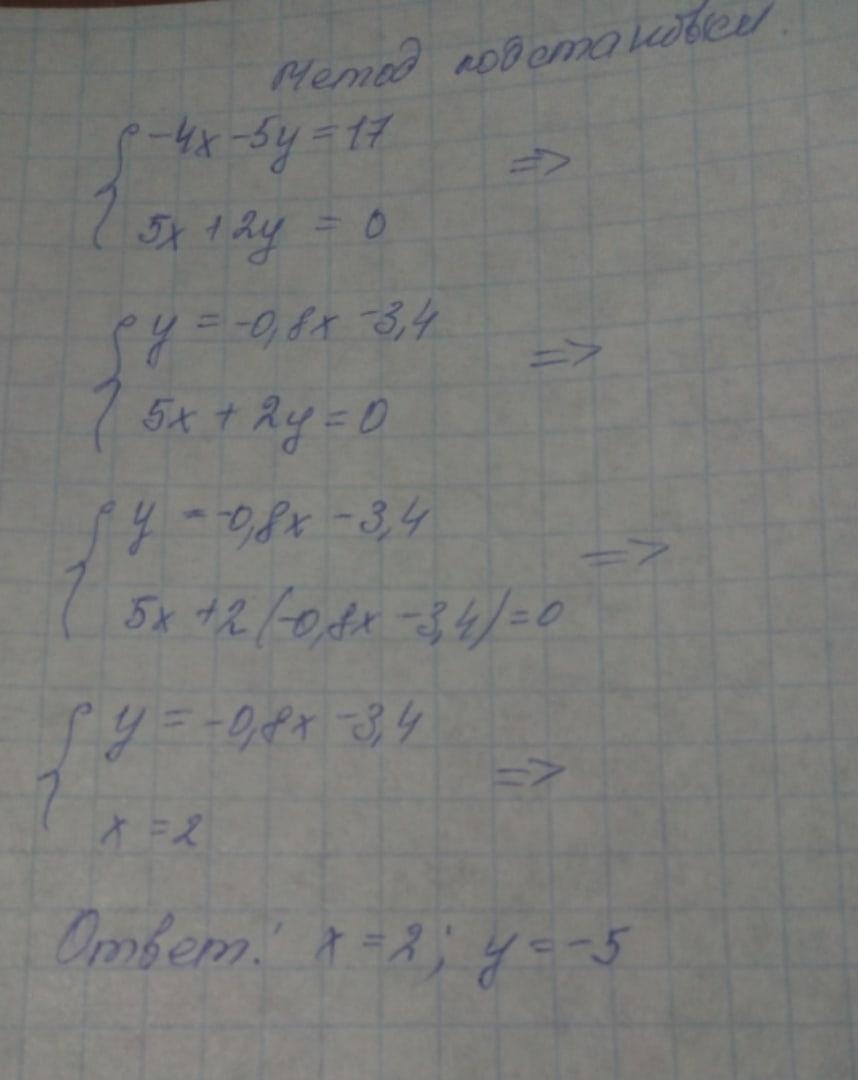
Решить тремя способами {−4х−5у= 17
{ 5x+2y=0
1)Графический
2)Метод подстановки
3)Метод сложения
Ответы должны быть одинаковыми в каждом способи,подробно!!!!
Ответы
Автор ответа:
1
Ответ:
объяснение нужно?
Приложения:
diamond77712:
Да вроде нет
Похожие вопросы
Предмет: Русский язык,
автор: KRYTISHKA
Предмет: Русский язык,
автор: Я1чмо1Дима
Предмет: Английский язык,
автор: Marlin2014
Предмет: Литература,
автор: алия230
Предмет: Биология,
автор: Rokwe