Предмет: Математика,
автор: polina57713
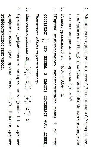
помогите пожалуйста
Приложения:
Ответы
Автор ответа:
0
Ответ:
3) x=0.15
Пошаговое объяснение:
9,2x-6,8x+0,64=1
2,4x+0,64=1
2,4x=1-0,64
2,4x=0,36
x=0,15
Похожие вопросы
Предмет: Русский язык,
автор: lyusyadragolyub
Предмет: Английский язык,
автор: KseniaAnashkina
Предмет: Русский язык,
автор: stanislav7777
Предмет: Алгебра,
автор: SandyChiks
Предмет: Математика,
автор: abduvasit05