Предмет: Математика,
автор: Joravjf
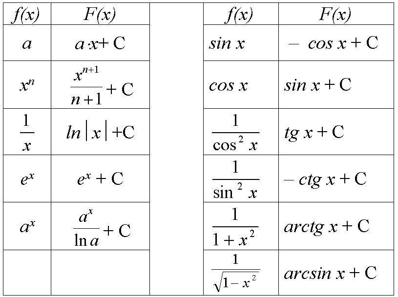
Нужна срочно помощь с математикой пожалуйста
Приложения:
Ответы
Автор ответа:
1
Ответ:
Во вложении
Пошаговое объяснение:
Приложения:
Joravjf:
слишком для меня сложно
C не нужно писать в интегралах
получается вот пример я беру формулу и подставляю на ней цифры и просто на калькуляторе делаю и всё?
Да, сначала находишь первообразную по формуле, после вместо x подставляешь сначала верхнее значение, потом нижнее.
И вычетаешь их
примерно понял
можно пожалуйста тебя для всей моей группы в колледже попросить расписать как ты это сделала на бумаге пожалуйста
ты уже просто нашим кумиром стала
что именно расписать?
спасибочки
Похожие вопросы
Предмет: Английский язык,
автор: Nina1234567
Предмет: Русский язык,
автор: Мораг
Предмет: Русский язык,
автор: arayasha26
Предмет: Право,
автор: Shiryaevairina