Предмет: Математика, автор: Larashalll73

Помогите с высшей математикой, пожалуйста :( У нас с друзьями совсем не совпадают ответы

Приложения:

Ответы

Автор ответа: GluV
1

Ответ:

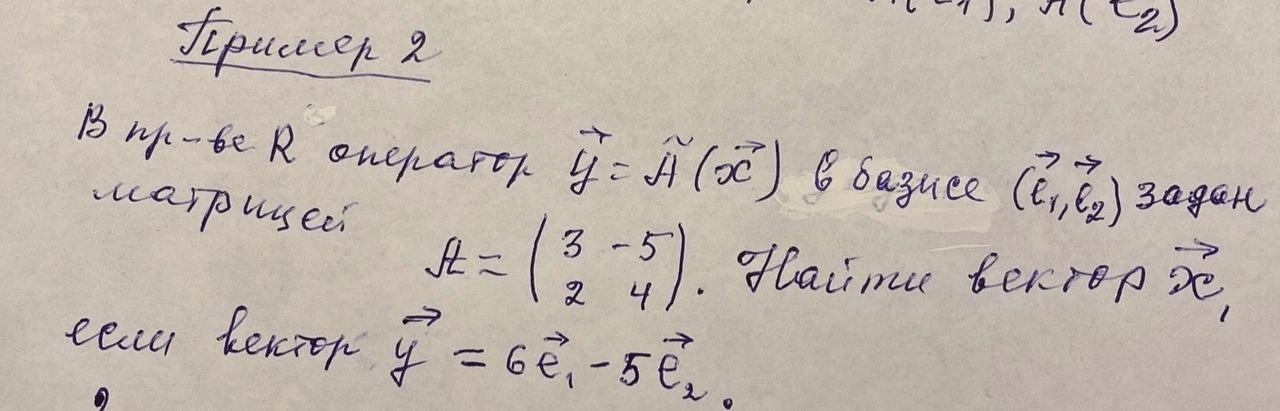
Вектор x имеет координаты (\frac{-1}{22};\frac{-27}{22})

Пошаговое объяснение:

Вектор x имеет координаты (\frac{-1}{22};\frac{-27}{22})

Приложения:

GluV: Нам нужно исключить переменную b. Для этого надо домножить первое уравнено на 4 ( коэффициент пред b во втором уравнении), а второе на 5 ( коэффициент пред b в первом уравнении). Получится
GluV: 12a-20b=24 и 10a+20b=-25 Складываем оба уравнения и получаем 22a=-1 Аналогично исключаем переменную a.
Похожие вопросы
Предмет: Русский язык, автор: maksprigarin8
Предмет: Русский язык, автор: denis7476ydtu
Предмет: Русский язык, автор: mari142003