Предмет: Математика,
автор: bejsembaevabahiana
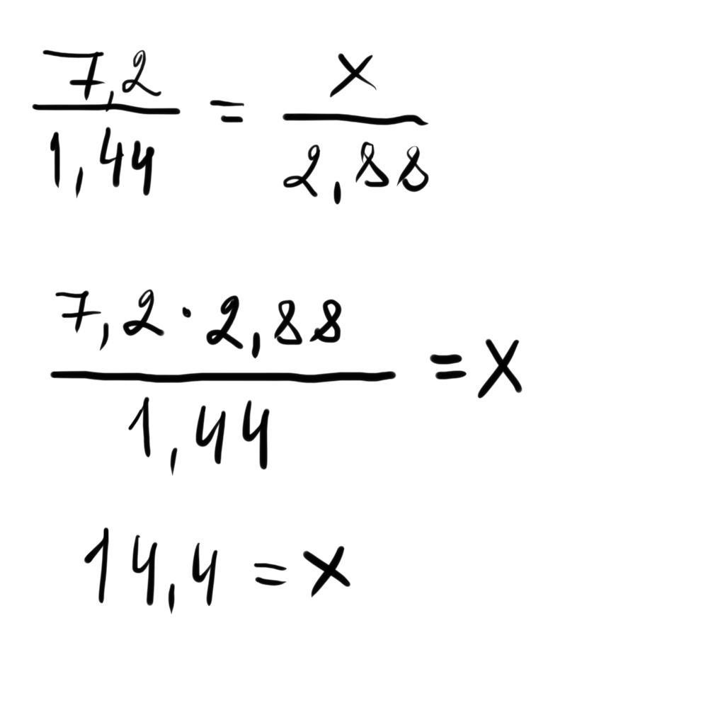
Найдите не известный член пропорции 7.2/1.44=х/2.88
Ответы
Автор ответа:
0
Ответ:
Пошаговое объяснение:
Приложения:
Автор ответа:
0
Ответ: х=14,4
Пошаговое объяснение:
Перемножаем крест на крест
1,44х=20,736
х=20,736/1,44
х=14,4
При проверки получается 5=5
Похожие вопросы
Предмет: Українська мова,
автор: King1999M
Предмет: Русский язык,
автор: lasto4ka001m
Предмет: Русский язык,
автор: pelageyaVinogradovaa
Предмет: Обществознание,
автор: TheNo
Предмет: Математика,
автор: DashatheFox