Предмет: Алгебра,
автор: sanisav102
Помогите ПОЖАЛУЙСТА!!!!!
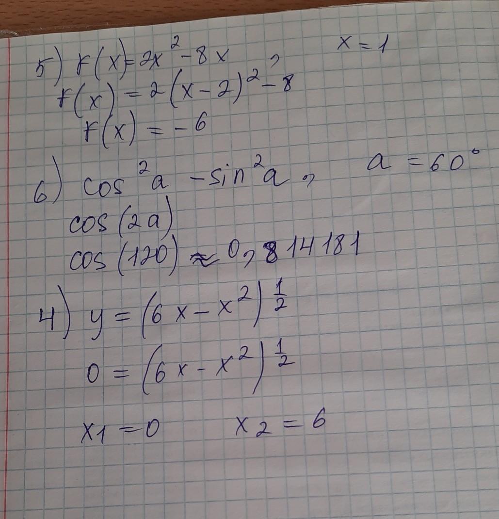
С 4ого задания до 7ого
Приложения:
Ответы
Автор ответа:
0
Ответ:
Отает в фото. Задания 4-6. 7 не могу решить.
Приложения:
Похожие вопросы
Предмет: Английский язык,
автор: мамапапа19
Предмет: Другие предметы,
автор: igoshin
Предмет: Русский язык,
автор: 690тора690
Предмет: Математика,
автор: antonmaneshin2