Предмет: Алгебра,
автор: sanisav102
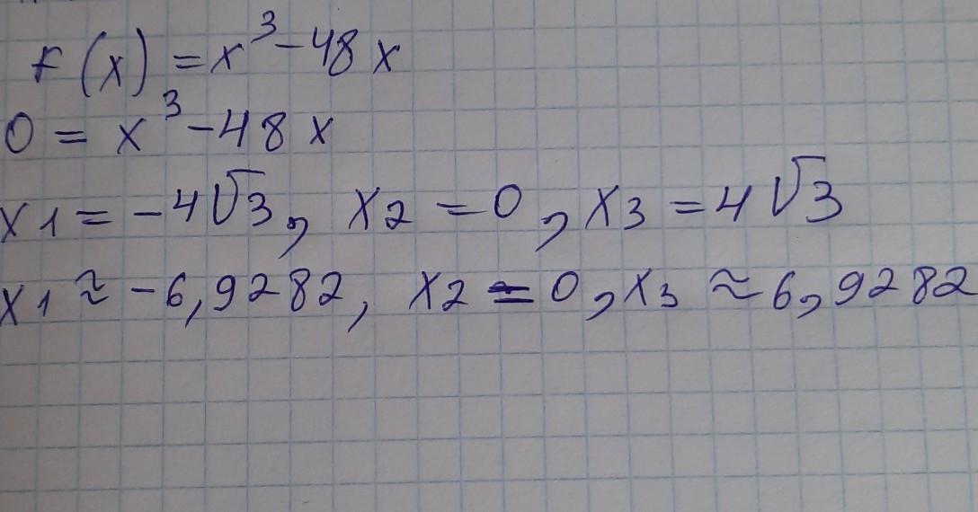
Знайдіть екстремуми функції f(x)= х3 -48х
Приложения:
Ответы
Автор ответа:
1
Ответ:
Ответ и решение приложила в фото
Приложения:
Похожие вопросы
Предмет: Русский язык,
автор: Аноним
Предмет: Английский язык,
автор: Олигарх007
Предмет: Русский язык,
автор: Аноним
Предмет: Математика,
автор: 11Miku11