Предмет: Физика,
автор: 62miga
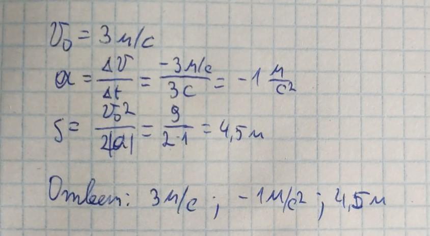
Определить по графику зависимости проекции скорости от времени начальную скорость тела, его ускорение и перемещение за 3 сек.
Приложения:
Ответы
Автор ответа:
0
,$$$$$$$$$________&&&&&&&&&&
Приложения:
Похожие вопросы
Предмет: Английский язык,
автор: мамапапа19
Предмет: Другие предметы,
автор: lapka2002
Предмет: Русский язык,
автор: 68885
Предмет: Математика,
автор: kuramysoarlosh