Предмет: Физика, автор: daniilplatonov08

При каких значениях показателя преломления прямоугольной призмы возможен ход луча, изображенный на рис. 8? Сечение призмы - равнобедренный треугольник, луч падает на грань АС нормально.



Ответы

Автор ответа: Prefernottospecify
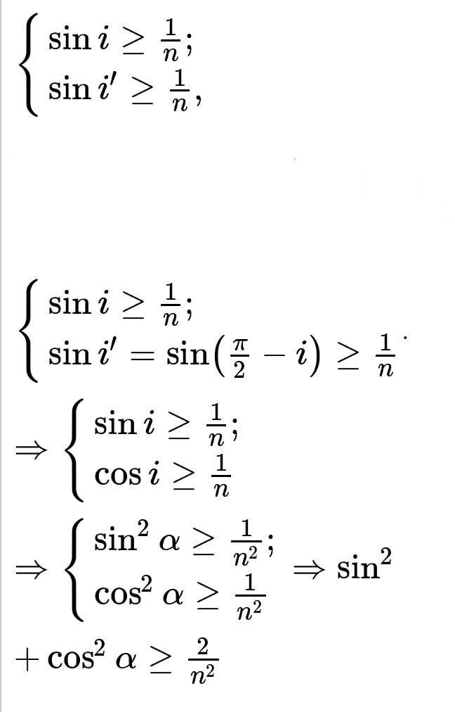
2

Нанеси (АBC)

Угол при вершине призмы :

 \alpha  = 45

Ответ :

n =  \geqslant  \sqrt{2}

Приложения:

daniilplatonov08: можешь решить ещё одну
daniilplatonov08: там тоже баллов нормально
daniilplatonov08: 45б
Prefernottospecify: го
Похожие вопросы
Предмет: Английский язык, автор: samaravik
8.) Прочитайте текст и выполните
задания к нему.


Eleanor Roosevelt was one of America’s great reforming leaders,
who had a big impact on national policy toward youth, the black, women, and the
poor. She worked hard to improve housing, education, health, and the status of
minority groups. As the wife of the 32nd President of the United
States Franklin D. Roosevelt, she was the country’s most active First lady.


She travelled all over the world, giving lectures and
meeting with world leaders. She wrote many newspaper and magazine articles and
made many radio and television appearances. She advised her husband, wrote many
articles, gave lectures all over the world, and worked with all level of
government to improve housing, education, and health in the United States.
After her husband’s death she was appointed a delegate to the United Nations,
where she helped write the Universal Declaration of Human Rights. After her
husband’s death, Eleanor Roosevelt was appointed by two presidents to serve as
a member of the United Nations. She was interested in Refugee matters. For years
Eleanor Roosevelt was called the most admired woman in the world.


 1. The text is
about…                                          


a)
Eleanor Roosevelt   b) Franklin D.
Roosevelt         c) Abraham Lincoln    d) Benjamin Franklin


2.
Содержанию текста соответствует предложение…


a)
Eleanor Roosevelt was the country’s most active First lady.

b)
Eleanor Roosevelt was the country’s most active second lady.

c)
Eleanor Roosevelt was the wife of the 31st President of the United States.


d)
Eleanor Roosevelt was the wife of the 32nd President of the United States,
Abraham Lincoln.


3. Содержанию текста не
соответствует предложение...

a)
Eleanor Roosevelt was one of America’s
great reforming leaders.


b)
Eleanor Roosevelt worked hard to improve housing, education, health, and the
status of minority groups.

c)
After her husband’s death she wasn’t appointed delegate to the United Nations.

d)
She wrote many articles, gave lectures all over the world.

4.
Правильным ответом на вопрос “Who
was the 32nd President of the United States?”
является…


a)
Benjamin Franklin  b) Franklin D. Roosevelt c) Abraham Lincoln           d) Eleanor Roosevelt


5. В тексте слово “minority” обозначает…

a) большинство         b) меньшинство         c) различный              d) выступление

6. Содержанию текста в
предложении “She
was
interesting…”
соответствует слово…


a)
delegate                   b) status                      c) to admire                 d) refugee


7.
Содержанию текста соответствует завершение предложения
“She wrote many newspaper and magazine articles and
made many radio and television…” словoм…


a)
appearances                        b) groups                     c) world                       d) matters


8.  Наиболее удачный заголовок к тексту…

a)
She was the country’s most active First Lady.        b)
Eleanor Roosevelt. 


c)
Eleanor and Franklin D. Roosevelt.                       d)
She was interested in refugee matters.


9.)
Переведите текст на русский язык.

10.)
Подготовьте краткий пересказ текста.