Предмет: Математика,
автор: lzv0zzz
помогите пожалуйста
Приложения:
Ответы
Автор ответа:
1
Ответ:
Пошаговое объяснение:
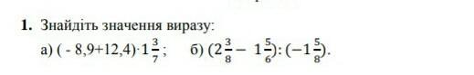
а) (-8,9 + 12,4) * 1 3/7 = 3,5 * 1 3/7 = 7/2 * 10/7 = 5
б) (2 3/8 - 1 5/6) : (-1 5/8) = -1/3
2 3/8 - 1 5/6 = 19/8 - 11/6 = (57 - 44)/24 = 13/24
13/24 : (-1 5/8) = 13/24 : (- 13/8) = 13/24 * (-8/13) = -1/3
Автор ответа:
1
Ответ:
5
Пошаговое объяснение:
1) -8,9+12,4=3,5. Преобразуем дробь, это будет 10/7 (дробью запишите только, 7 это назоуник, 10 личник)
2) 3,5 это 7/2 и получается 7/2 * 10/7, семёрки сократить и останется 10/2 и будет равно 5
Похожие вопросы
Предмет: Русский язык,
автор: Kachenko97
Предмет: Русский язык,
автор: элоза
Предмет: Русский язык,
автор: Mary0124
Предмет: Математика,
автор: няша12211223322
Предмет: Алгебра,
автор: ние42