Предмет: Математика,
автор: Saikaaa27
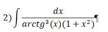
Вычислите неопределенный интеграл
Приложения:
Ответы
Автор ответа:
1
1)d(arctg(x)) = (arctg(x))'dx = dx/1+x²
2)£ dx/arctg³(x)(1+x²) = £ d(arctg(x))/arctg³(x) = £ d(t)/t³ = £ t^-3 dt = -0.5t^-2 + C = -1/2arctg²(x) + C
Saikaaa27:
Спасибо, а можете скинуть фотографию данного решения
Похожие вопросы
Предмет: Русский язык,
автор: kirillf2012
Предмет: Другие предметы,
автор: cravtsovacravt
Предмет: Русский язык,
автор: maryagun
Предмет: Химия,
автор: MagdalinaKomarova
Предмет: Математика,
автор: taetled1