Предмет: Физика,
автор: obidinalyda
Срочно!
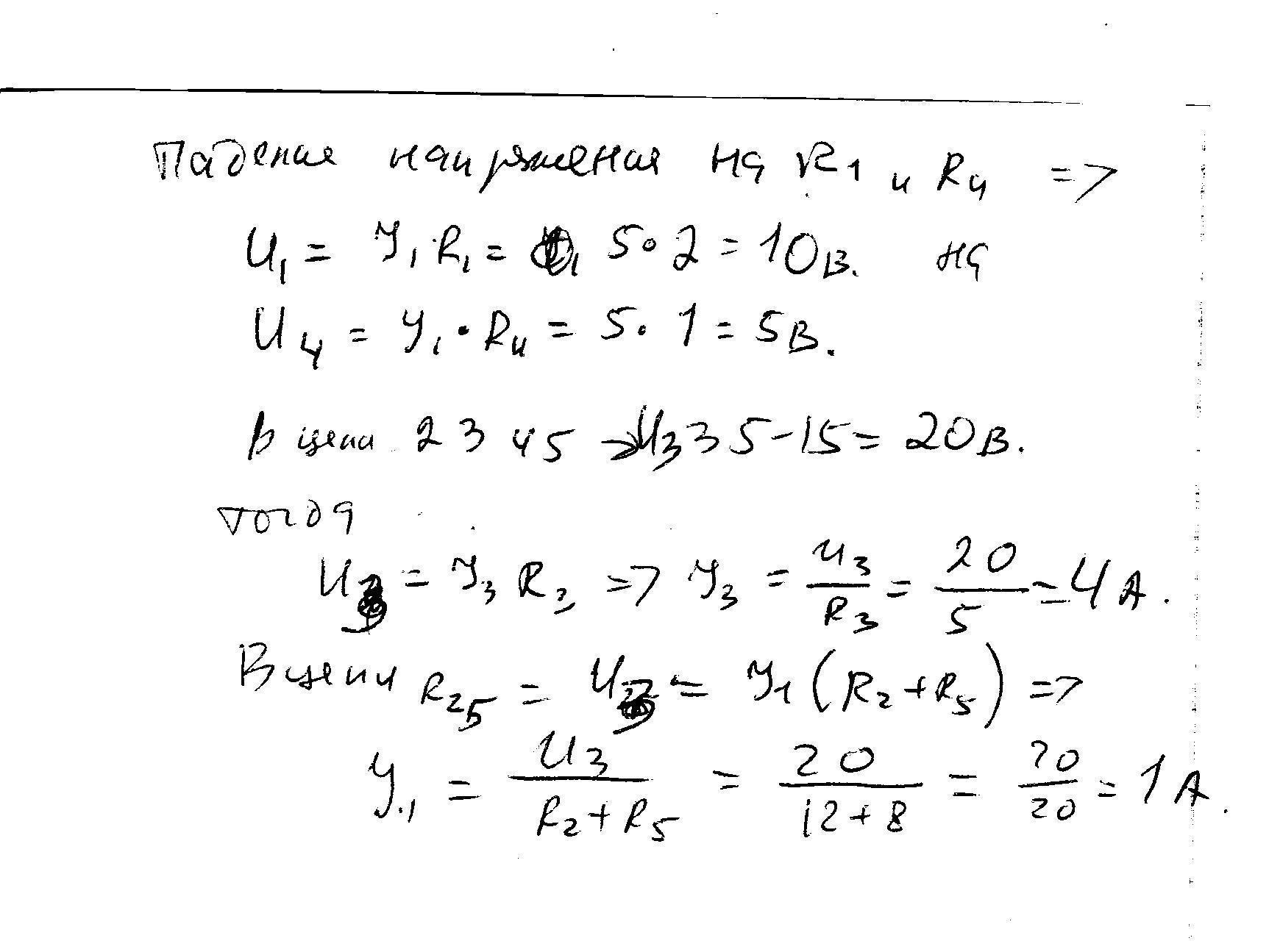
Параметри електричної схеми: R1=10 Ом, R2 =8 Ом, R3 =12 Ом Е=29 В . Знайти струми.
Ответы
Автор ответа:
0
Ответ:
решение в скане... А правило Кирхгофа проходят в школе? Добавлю, на всякий случай более простое решение.
Объяснение:
Приложения:
Похожие вопросы
Предмет: Русский язык,
автор: KKochneva
Предмет: Русский язык,
автор: serikoralbekov
Предмет: Английский язык,
автор: romka20121995
Предмет: Литература,
автор: венди23