Предмет: Алгебра,
автор: Аноним
Очень нужны решения по алгебре! Добавил бы больше баллов, если бы смог, но 100 баллов тут максимум! Продублируйте аналогичное решение для аналогичной задачи, которую я уже опубликовал раннее, чтобы получить ещё больше баллов!
Приложения:
Ответы
Автор ответа:
0
Ответ:
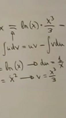
x^2*dx=dU; P=Ln(x); U=(x^3)/3; dP=dx/x; интеграл x^2*ln(x )dx =((x^3)*Ln(x))/3-(x^3)/9+C
Пожалуйста, напиши на листочке и сфоткай. Мне нужно переписать на бумагу. Или тут с помощью редактора напиши
Автор ответа:
0
Ответ:
ответы в скринах в закрепе
Приложения:
Похожие вопросы
Предмет: Қазақ тiлi,
автор: megaarbi
Предмет: Английский язык,
автор: egornika
Предмет: Русский язык,
автор: мой1муж1Shibol
Предмет: Литература,
автор: DimaSmirnov221
Предмет: История,
автор: 1232708
Вот ссылка на это же задание, продублируйте там тот ответ, который напишете тут, и получите вдвое больше баллов