Предмет: Алгебра,
автор: Away1924
ПОМОГИТЕ ПОЖАЛУЙСТА СРОЧНО!!!
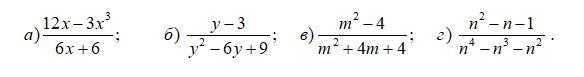
Сократите дробь, предварительно разложив числитель и знаменатель дроби на множители
Приложения:
Ответы
Автор ответа:
1
Ответ:
решение смотри на фотографии
Объяснение:
Приложения:
Похожие вопросы
Предмет: Английский язык,
автор: бабушка120501
Предмет: Русский язык,
автор: poshlyak228
Предмет: Українська література,
автор: Ministernek
Предмет: Математика,
автор: Nastya9998888777
Предмет: Математика,
автор: сабринка2