Предмет: Химия,
автор: pojeloygopa
ДАМ 45 БАЛОВ
І варіант
1. Укажіть тип хімічного зв’язку найбільш характерний для органічних сполук:
1. Полярний
2. Йонний;
3. Водневий;
4. Металічний;
5. Ковалентний .
2. Укажіть загальну формулу гомологічного ряду алканів:
1.CnH6n
2. C n H 2n-2
3. C n H2 n+2
4. C n H 2n
5. C n H 2n-6
3. Укажіть назву функціональної груп, наявної у карбонових кислотах:
1. Гідроксильна;
2. Альдегідна ;
3. Карбоксильна ;
4. Карбонільна.
4. Укажіть назву вуглеводу, який належить до полісахаридів:
1. Глюкоза;
2. Сахароза;
3. Целюлоза;
4. Фруктоза
5. Жири належать до:
1.Спиртів
2. Альдегідів;
3. Естерів
4. Етерів
5. Карбонових кислот
6. Укажіть формулу речовини, яку використовують для виявлення крохмалю:
1. СаО
2. KMnO 4
3. Cu(OH) 2
4. CuSO 4
5. I 2
7. Розмістіть кислоти в порядку зменшення їх розчинності у воді:
1.Бутанова
2. Оцтова
3. Мурашина
4. Стеаринова
5. Масляна
8. Установіть відповідність між вуглеводнями та їх густиною за
воднем:
1. Метан 1. 14
2. Пропан 2. 27
3. Етен 3. 8
4. Бутин 4. 22
9. Дописати рівняння реакції окиснення глюкози і вказати суму коефіцієнтів
С 6 Н 12 О 6 + О 2 →
10. Здійсніть перетворення за схемою :
СН 4 →CH 3 Cl→C 2 H 6 →C 2 H 5 Cl
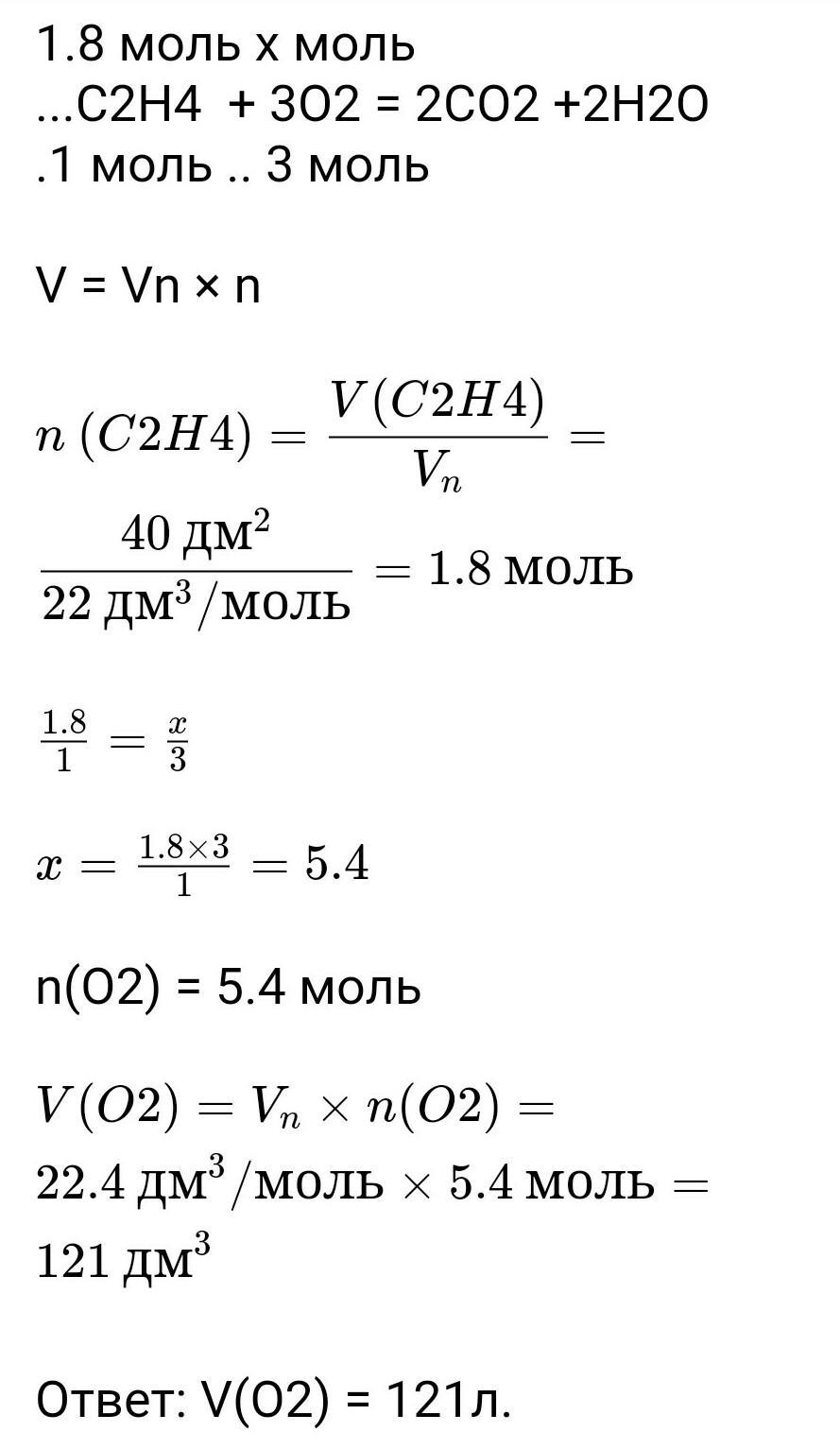
11. Який об’єм кисню необхідний для спалювання 40 л етену?
Ответы
Автор ответа:
2
Ответ:
1) 5
2) 3
3) 3
4) 3
5) 5
6) 5
7) 3, 2, 5, 1, 4 (от Хорошо растворимых, к плохо растворимым)
8) не знаю
9) С6Н12О6 + 6О2 → 6СО2 + 6Н2О
10) не знаю
11) прикреплено
Приложения:
Похожие вопросы
Предмет: Русский язык,
автор: JustEnjoy
Предмет: Английский язык,
автор: Сашка200204
Предмет: Русский язык,
автор: makpal97
Предмет: Обществознание,
автор: Ромашка011
Предмет: Математика,
автор: AS973