Предмет: Алгебра,
автор: viktoryana2
ПОМОГИТЕ ПОЖАЛУЙСТА НЕ МОГУ РЕШИТЬ!!! БЕЗ ВАС НЕ СПРАВЛЮСЬ ♥ ЗАРАНЕЕ ОГРОМНОЕ СПАСИБО ♥
Приложения:
Ответы
Автор ответа:
1
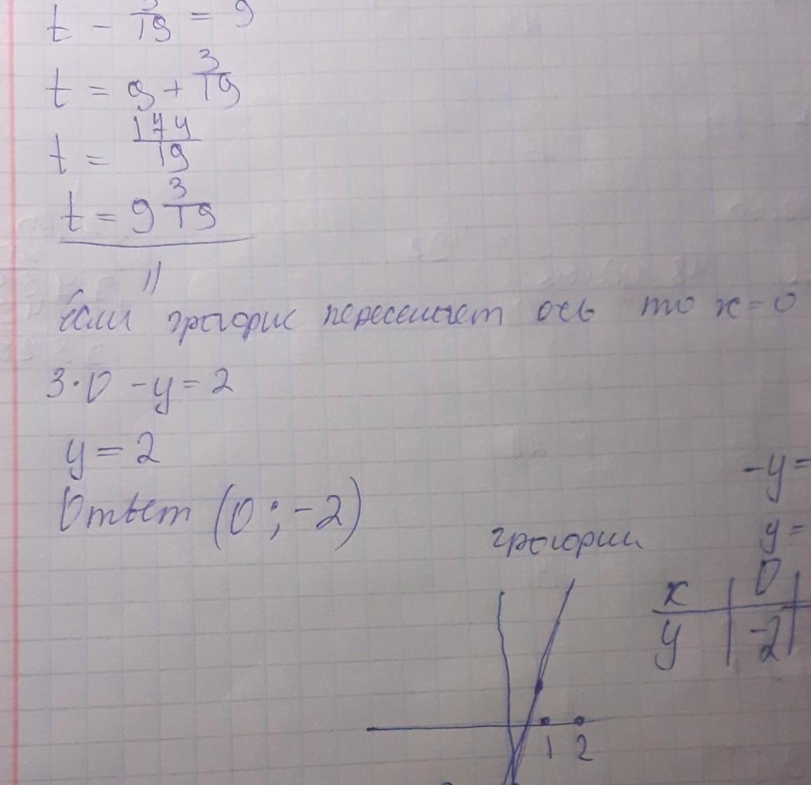
Ответ:
ответ во вложении.......
Приложения:
Похожие вопросы
Предмет: Русский язык,
автор: yfnfkm
Предмет: Русский язык,
автор: Аноним
Предмет: Қазақ тiлi,
автор: tirec
Предмет: Математика,
автор: Ксения13320
Предмет: Биология,
автор: Аноним