Предмет: Алгебра,
автор: aerosmithflowswiftke
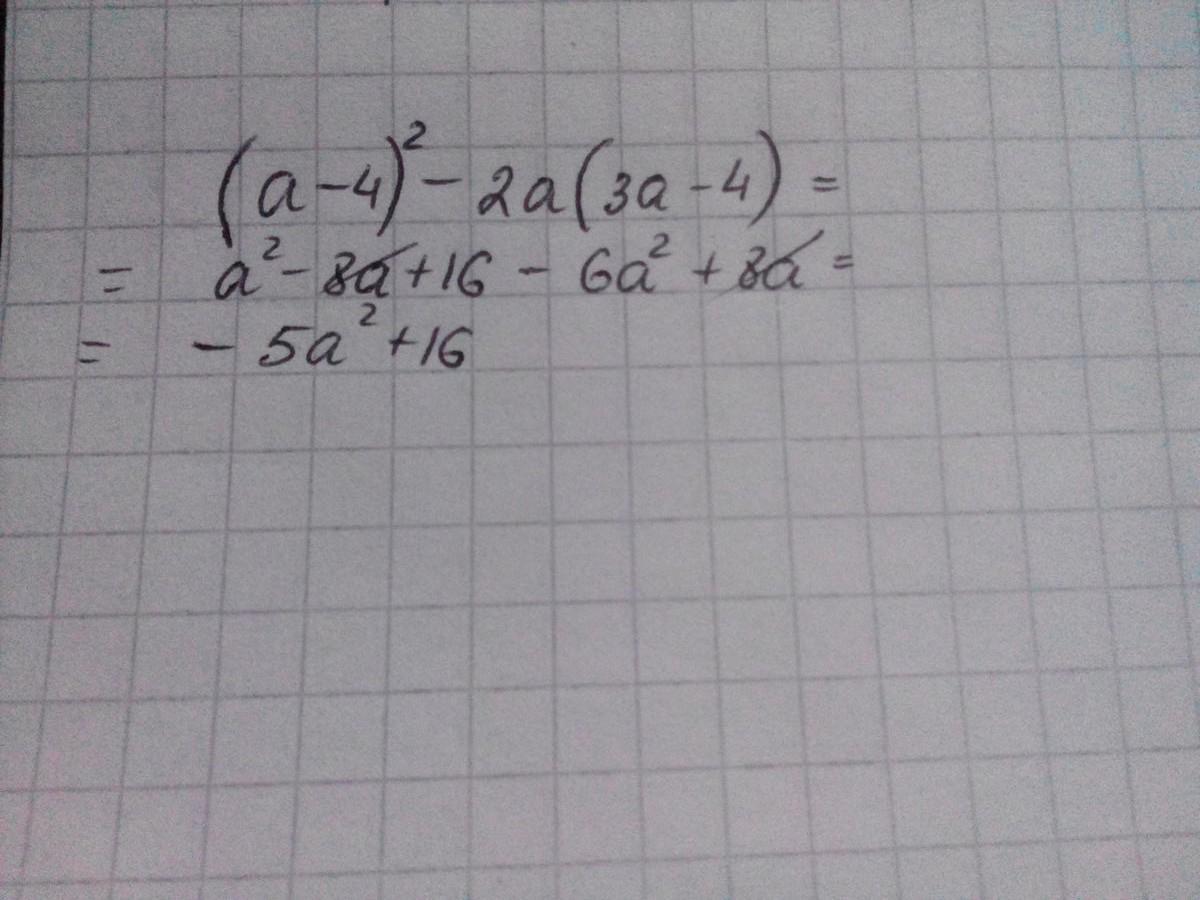
У простить выражение (a-4)2в квадрате-2a(3a-4)
Ответы
Автор ответа:
0
Ответ:
Ответ во вложении
Объяснение:
Приложения:
aerosmithflowswiftke:
Спасибо
Автор ответа:
0
Ответ:
Объяснение:
(a-4)²-2a(3a-4)=а²-8а+16-6а²+8а= -5а²+16
Похожие вопросы
Предмет: Другие предметы,
автор: Аноним
Предмет: Қазақ тiлi,
автор: 110711zh
Предмет: Қазақ тiлi,
автор: ainakon98
Предмет: Алгебра,
автор: здравствуйте141