Предмет: Другие предметы,
автор: Kudinovaaa
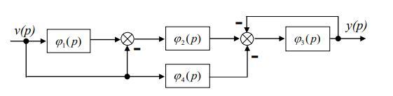
100 БАЛЛОВ Определить передаточную функцию системы, структурная схема которой
изображена на рисунке
Приложения:
Ответы
Автор ответа:
1
Ответ:
перенесем сумматор 1 вправо:
v*(ф1*ф2-ф2-ф4)*1/(1+ф3)=у, то есть
у/v=W= (ф1*ф2-ф2-ф4)*1/(1+ф3)
Похожие вопросы
Предмет: Английский язык,
автор: sashashmiryov
Предмет: Русский язык,
автор: svetlanka1981
Предмет: Русский язык,
автор: Daniel090102
Предмет: Биология,
автор: rdinfo10
Предмет: Математика,
автор: khasaevaelmira