Предмет: Алгебра, автор: hopma19976

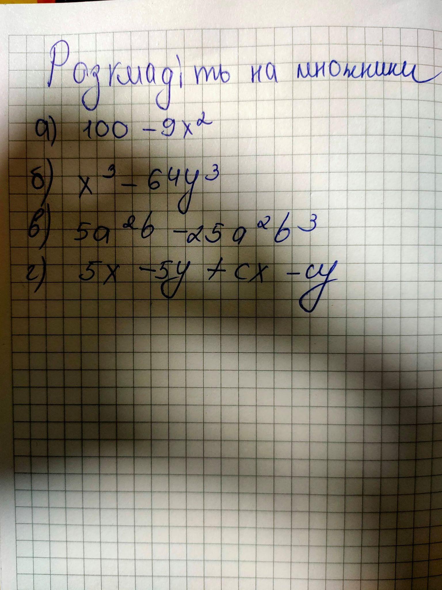
Допоможіть розкласти на множники.

Приложения:

Ответы

Автор ответа: Lie
2

Ответ:

Объяснение:

a) 100-9x^2=10^2-(3x)^2=(10-3x)(10+3x)\\b) x^3-64y^3=x^3-(4y)^3=(x-4y)(x^2+4xy+16y^2)\\c) 5a^2b-25a^2b^3=5a^2b(1-5b^2)\\d) 5x-5y+cx-cy=5(x-y)+c(x-y)=(5+c)(x-y)


hopma19976: спасибо!
Похожие вопросы
Предмет: Математика, автор: Василиса1225
Предмет: Геометрия, автор: eklektoi