Предмет: Математика,
автор: cbx990402
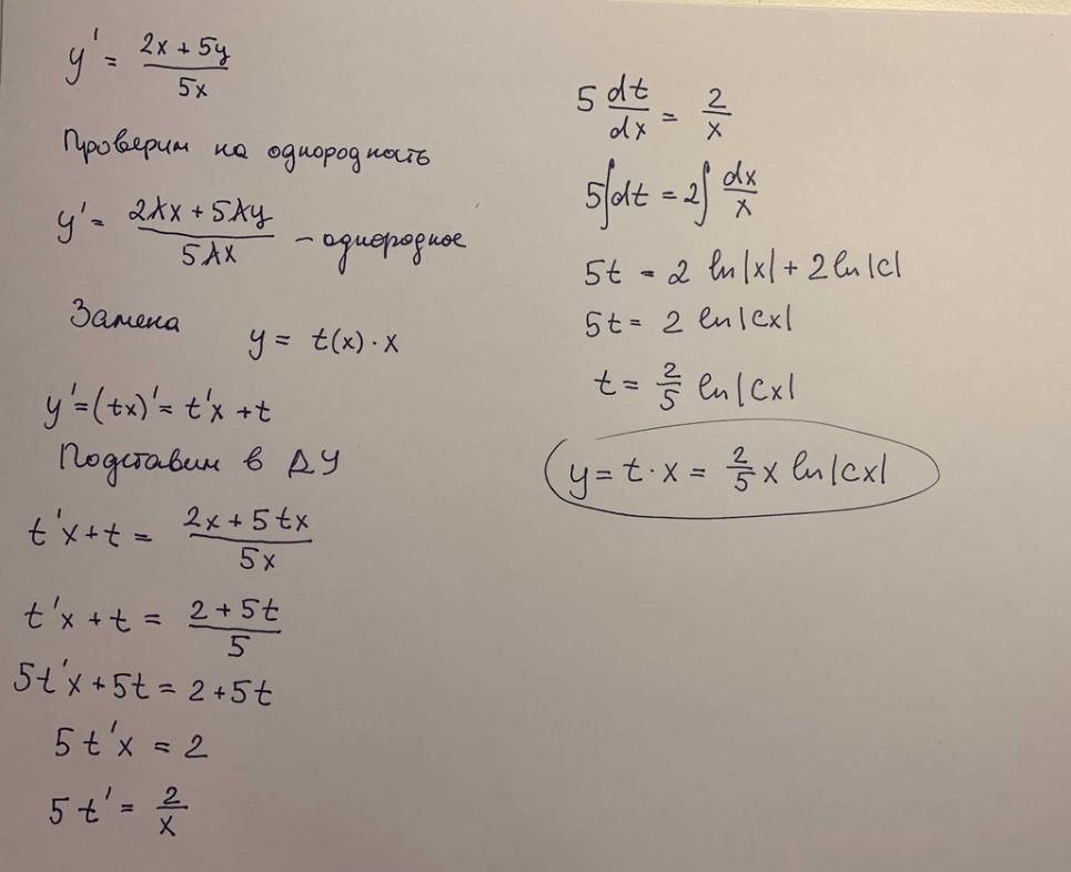
решить однородное дифференциальное уравнение первого порядка
Приложения:
Ответы
Автор ответа:
1
Ответ:
См. фото
Пошаговое объяснение:
Приложения:
Похожие вопросы
Предмет: Русский язык,
автор: аня1314
Предмет: Другие предметы,
автор: ОптимисткаНика
Предмет: Английский язык,
автор: Аноним
Предмет: Математика,
автор: патриот222
Предмет: Математика,
автор: ponomoreva2018