Предмет: Математика,
автор: cbx990402
решить дифференциальное уравнение с разделяющимися переменными
Приложения:
Ответы
Автор ответа:
0
Ответ: dx/dy=-2+3x-x2/y=3
Пошаговое объяснение:
Автор ответа:
1
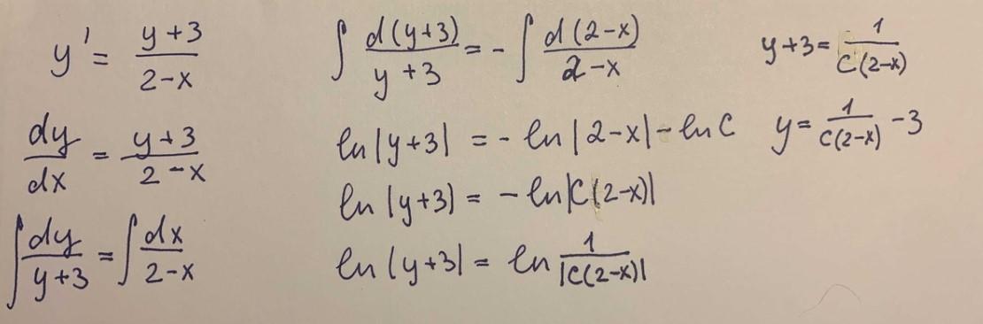
Ответ:
См. фото
Пошаговое объяснение:
Приложения:
Похожие вопросы
Предмет: Русский язык,
автор: SlovoeHello
Предмет: Русский язык,
автор: Курбон
Предмет: Английский язык,
автор: MakAF
Предмет: Математика,
автор: патриот222