Предмет: Математика,
автор: StasVulkanov
Помогите решить, 20 балов!!!!!!!!!!!!!!!!!!!!!!!!!!!!!!!!!!!!!!!!!!!!!!!!!!!!!!
Приложения:
Ответы
Автор ответа:
1
Ответ:
Пошаговое объяснение:
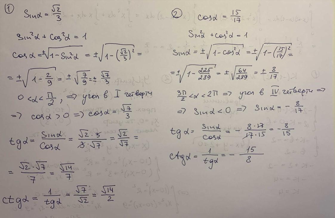
См. фото
Приложения:
Похожие вопросы
Предмет: Английский язык,
автор: kiskaBelova
Предмет: Английский язык,
автор: dashabekker04
Предмет: Английский язык,
автор: Rhensirf
Предмет: Алгебра,
автор: Nuanmaruchan