Предмет: Алгебра,
автор: tanacatarmi
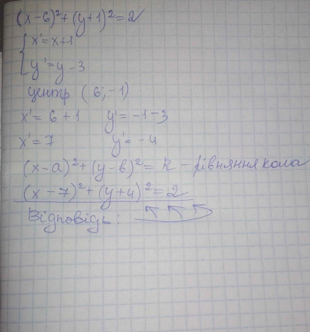
Запишіть рівняння кола,у яке переходить коло (x-6)2+(y+1)2=2 в результаті паралельного перенесення заданого формулами x`=x+1,y`=y-3
Ответы
Автор ответа:
10
Ответ:
.......................
Приложения:
Похожие вопросы
Предмет: Английский язык,
автор: grisha4567
Предмет: Английский язык,
автор: gila55
Предмет: Русский язык,
автор: ОооАришкооО
Предмет: Математика,
автор: это25
Предмет: Биология,
автор: nadezhda2k17