Предмет: Алгебра,
автор: rivskix
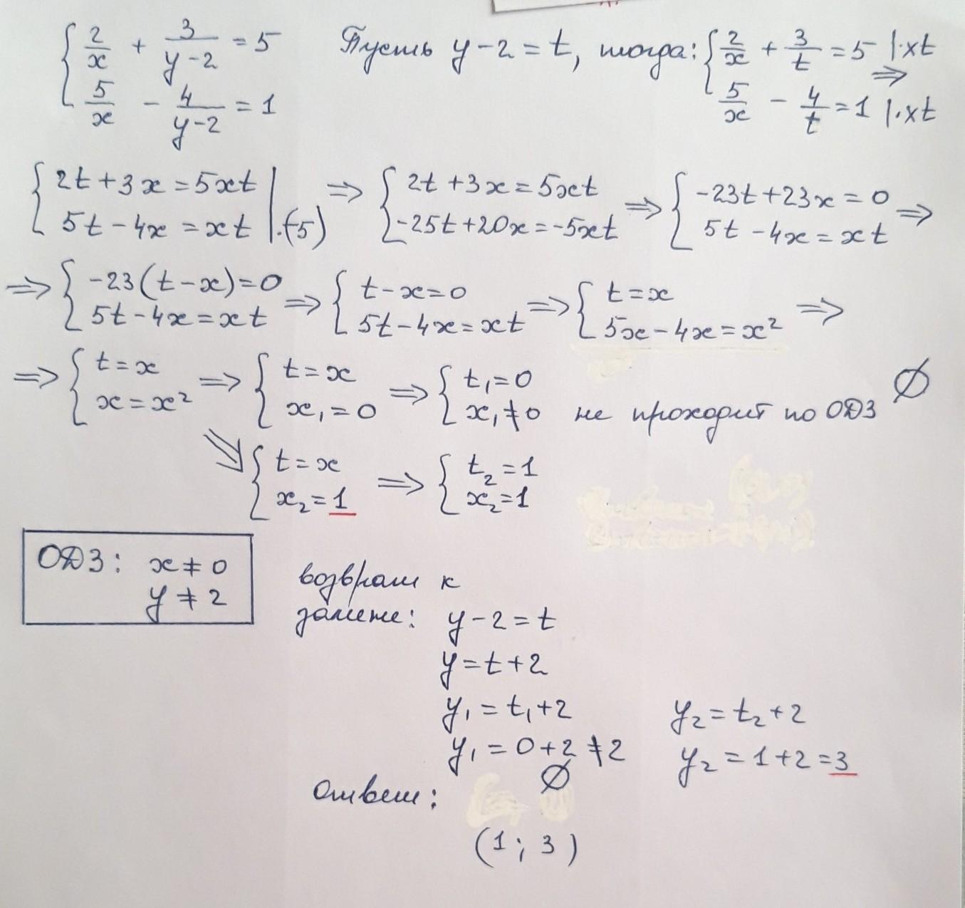
ПОМОГИТЕ ПОЖАЛУЙСТА
СПОСОБОМ ВВЕДЕНИЯ НОВЫХ ПЕРЕМЕННЫХ
Приложения:
Ответы
Автор ответа:
1
исходное не пишу х≠ 0 у≠2
1/х⇒а 1/(у-2)⇒в
2а+3в=5 I*4
5а-4в=1 I*3
8а+12в=20
15а-12в=3 сложим
23а=23
а=1 в=(5-2а)/3=1
1/х=1 х=1
1/(у-2)=1 у-2=1 у=3
(1;3)
Автор ответа:
1
Ответ:
(1; 3) .
Решить способом введения новых перемен-
ных.
Приложения:
Похожие вопросы
Предмет: Английский язык,
автор: suvorovait
Предмет: Английский язык,
автор: 12487208
Предмет: Другие предметы,
автор: anita135
Предмет: Литература,
автор: PolnaPechali