Предмет: Алгебра,
автор: irmatok
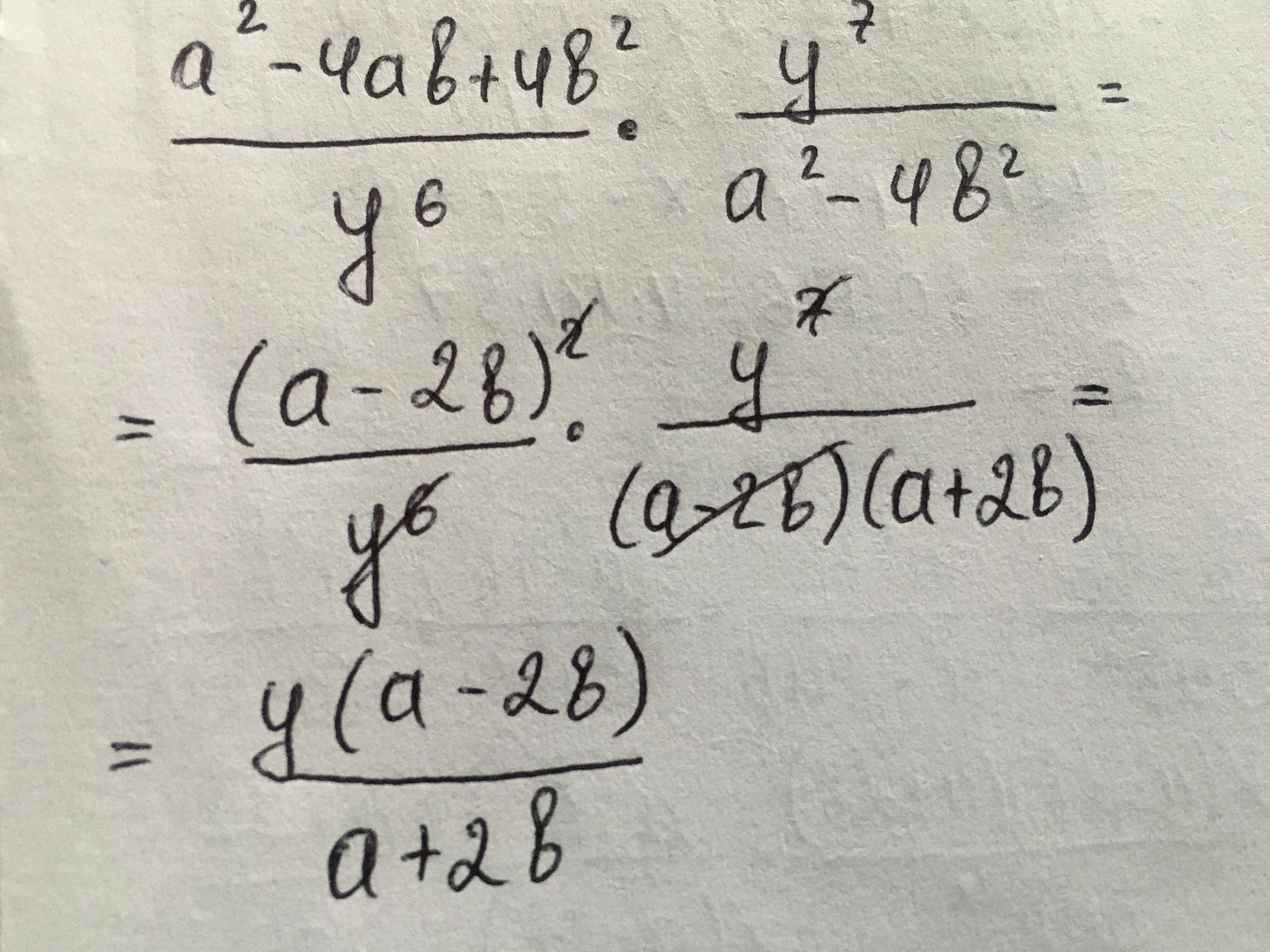
выполните умножение и деление алгебраических дробей а2-4ав+4в2/у6*у7/а2-4в2
Ответы
Автор ответа:
13
Ответ:
Решение в приложении
Объяснение:
Приложения:
Похожие вопросы
Предмет: Русский язык,
автор: Alina56985tiara
Предмет: Русский язык,
автор: НикитаФомин
Предмет: Другие предметы,
автор: Викуша1958
Предмет: Химия,
автор: sofiyabelyaeva1