Предмет: Алгебра, автор: shuraprokofevich40

четыре в нулевой степени минус семь во второй степени

Ответы

Автор ответа: DinaTae04
2

Решение во вложении....

Приложения:
Автор ответа: Аноним
2

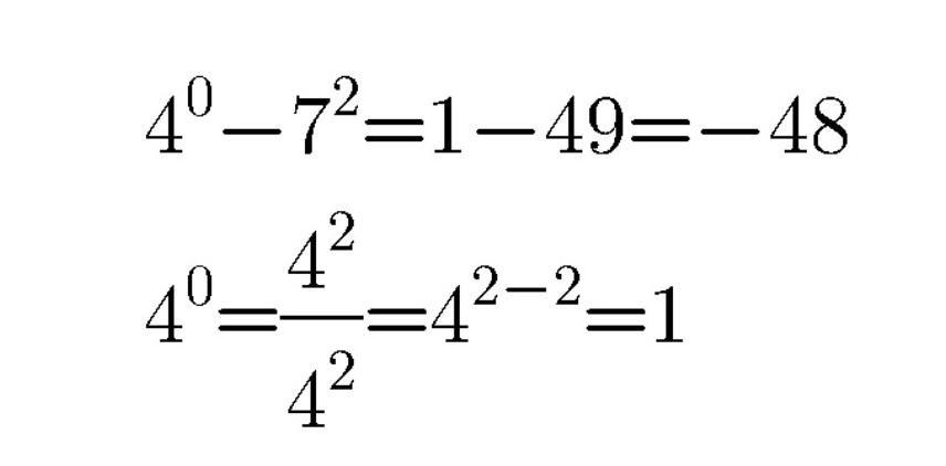
Ответ:- 48

Объяснение:  любое число в нулевой степени равно 1.

4⁰- 7²=1 - 49=- 48.

Похожие вопросы
Предмет: Русский язык, автор: suqias
pomogiteeeeeeeee pojolustaaaaaaaaaaaaaaaaaaaa
Прочитайте скороговpomogiteeeeeeeee pojolustaaaaaaaaaaaaaaaaaaaa
Прочитайте скороговорку Ю. Кушака.                                                                               Сорок сорок                                                                                                                     Для своих сорочат                                                                                                           Сорок сорояек,                                                                                                              Не ссорясь, строчат.                                                                                                        Сорок сорочек                                                                                                                 Прострочены в срок-                                                                                                        Сразу поссорились                                                                                                          Сорок сорок.                                                                                                                Почему поссорились сороки?                                                                                           Спишите, обозначьте в словах ыдарение.                                                                          Какими частями речи являются одинаково написанные слова? На какой вопрос они отвечают? Подчеркните имена числительные.