Предмет: Математика,
автор: jayzwalkinz
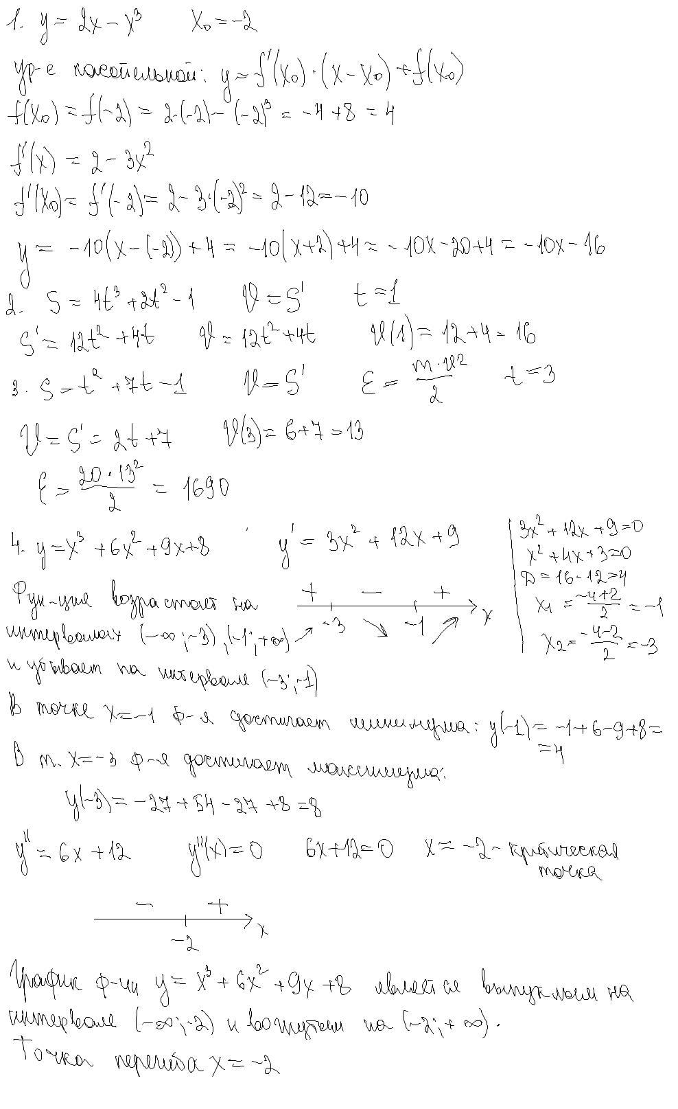
Решите пожалуйста! ......................
Приложения:
Ответы
Автор ответа:
0
Ответ:
на фото
Пошаговое объяснение:
Приложения:
Похожие вопросы
Предмет: Русский язык,
автор: пллиз
Предмет: Русский язык,
автор: voreser
Предмет: Русский язык,
автор: mokrecsova12vfv
Предмет: История,
автор: Tomsen18
Предмет: Математика,
автор: Anisa2008