Предмет: Алгебра,
автор: waysuperway
Помогите, СРОЧНО ПОМОГИТЕ
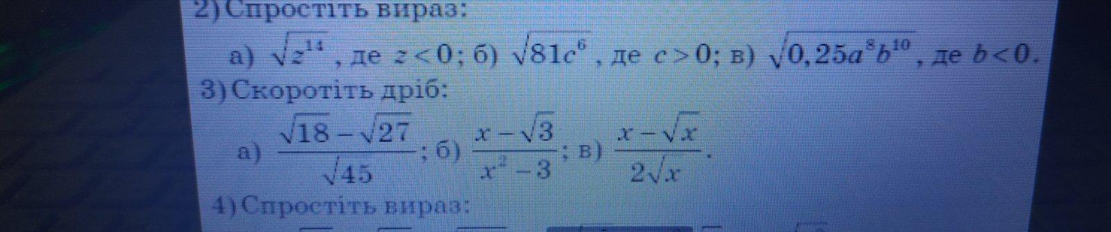
Именно 2 задание
Приложения:
Ответы
Автор ответа:
0
Ответ:
2).....=9с^3 при с>0
3) ......=0.5а^4•|b^5| при любое а и b<0
Похожие вопросы
Предмет: Английский язык,
автор: Аноним
Предмет: Русский язык,
автор: Vasiliskaloveru
Предмет: Английский язык,
автор: kushnirlilia
Предмет: Геометрия,
автор: Global02
Предмет: География,
автор: abdukarimova05