Предмет: Алгебра, автор: MihaGaming

Дана арифметическая прогрессия: -5; -3; -1;... Найдите сумму первых восьми её членов

Ответы

Автор ответа: olgachervonaya1974
1

Ответ: S8=16

Объяснение:

d= -3-(-5)= - 3+5=2 (різниця)

n =8

a1= -5

a8= a1+7d

a8= - 5+7×2= -5+14=9

S8= (a1+an)/2×n

S8=(-5+9)/2×8=4/2×8=2×8=16

Автор ответа: rbadalboyeva
0

Ответ:

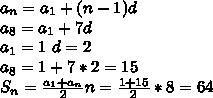
Вот фото посмотри

Объяснение:

Приложения:
Похожие вопросы
Предмет: Другие предметы, автор: 30632
Предмет: География, автор: lovelyanorexia
1.Выберите город, расположенный в Западной Сибири.

А) Нижневартовск; б) Красноярск; в) Оренбург; г) Хабаровск.

2. Выделите причину, которая затрудняет ведение хозяйства в Западной Сибири

А) полное отсутствие железных дорог; в) наличие многолетней мерзлоты;

Б) частые ураганы и смерчи; г) труднопроходимые лесные массивы;

3. Выделите основную отрасль хозяйства Западной Сибири

А) газовая промышленность; в) лесохимическая промышленность;

Б) цветная металлургия; г) сельскохозяйственное машиностроение.

4. Выберите верное утверждение.

А) целлюлозно-бумажная промышленность играет ведущую роль в хозяйстве Западной Сибири.

Б) предприятия черной и цветной металлургии по- прежнему имеют большое значение в хозяйстве Западной Сибири.

1) верно только А; 3) верны оба утверждения;

2) верно только Б; 4) оба утверждения неверны.

5. Выберите верное утверждение.

А) Население Западной Сибири в основном сосредоточено на севере региона.

Б) Новосибирск, Новый Уренгой, Магадан – крупнейшие города Западной Сибири.

1) верно только А; 3) верны оба утверждения;

2) верно только Б; 4) оба утверждения неверны.

6. Какой из перечисленных угольных бассейнов расположен в Западной Сибири?

А) Донецкий; б) Кузнецкий; в) Печорский4 г) Канско-Ачинский.

7. Высокая доля городского населения:

а) в Республике Бурятия б) в Республике Хакасия; в)в Ханты –Мансийском автономном округе .

8. Крупнейшим по численности населения городом Западной Сибири является

А) Томск; б) Новосибирск; В) Кемерово; Г) Сургут