Предмет: Математика,
автор: dominick1062
СРОЧНО! ПОМОГИТЕ!
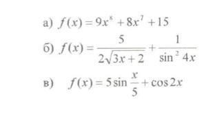
Найти первообразную в общем виде
Приложения:
Ответы
Автор ответа:
0
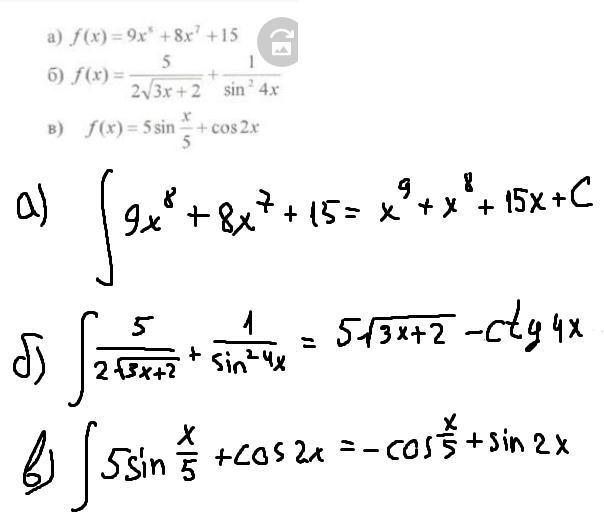
Ответ:
на "фото"
Пошаговое объяснение:
Приложения:
Похожие вопросы
Предмет: Русский язык,
автор: nugaevayulya
Предмет: Русский язык,
автор: шкоола
Предмет: Другие предметы,
автор: allochk02
Предмет: Математика,
автор: эльман4
Предмет: Математика,
автор: snezhanosa