Предмет: Математика,
автор: mm2008
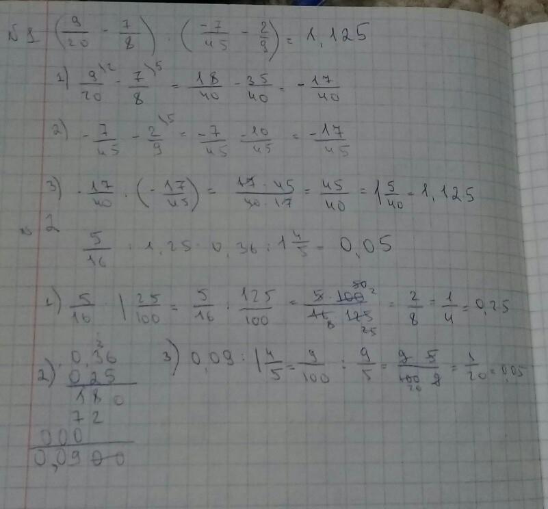
Помогите пожалуйста решить примеры. Нужно расписать по действиям. Даю 15 баллов
Приложения:
Ответы
Автор ответа:
0
Ответ:
Решение на фотографии
Приложения:
Похожие вопросы
Предмет: Русский язык,
автор: dimaalekseev9
Предмет: Английский язык,
автор: Оля1336
Предмет: Українська мова,
автор: marinaminko85
Предмет: Литература,
автор: sonya1108
Предмет: Математика,
автор: Аноним