Предмет: Алгебра,
автор: Alina23812737
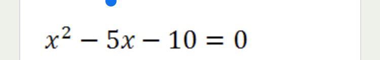
Чому дорівнює сума коренів рівняння:
Поомогитее
Приложения:
Ответы
Автор ответа:
1
Ответ:
x1 + x2 = 5
Объяснение:
Похожие вопросы
Предмет: Русский язык,
автор: lianaV79
Предмет: Русский язык,
автор: ромик42
Предмет: Русский язык,
автор: Aylhtq1668
Предмет: Геометрия,
автор: Lime47